[첨단 헬로티]
와이드 밴드 갭 소재는 현재의 실리콘 기반 기술을 넘어설 수 있다. 와이드 밴드 갭은 더 높은 절연 파괴 전압뿐 아니라 더 낮은 RSP를 가능하게 한다. 높은 전자 포화 속도는 고주파 설계와 동작을 구현한다. 또 누설 전류 감소 및 열전도율 향상이 고온에서 동작을 용이하게 한다.
온세미컨덕터(On Semiconductor)는 SiC 다이오드와 내구성과 속도를 갖춘 SiC MOSFET 뿐만 아니라 SiC MOSFET용 하이엔드 IC 게이트 드라이버까지 와이드 밴드갭 솔루션에 초점을 맞춘 솔루션을 제공한다. 또 하드웨어 외에도 비용이 많이 드는 실제 측정을 대신해 시뮬레이션에서 설계자가 애플리케이션 성능을 실현할 수 있도록 지원하는 물리적 스파이스 모델(SPICE, Simulate Program Integrated Circuit Emphasis)도 제공한다.
온세미컨덕터의 단일 부품 모델링(Discrete modeling)은 RDS(on)같은 부품의 레벨 성능 지수뿐만 아니라 효율성과 같은 시스템 레벨 성능지수를 최적화할 수 있는 시스템 레벨 시뮬레이션을 제공한다. 또한 설계자는 다양한 온도, 버스 전압, 부하 전류, 스위칭 애플리케이션을 위한 입력 게이트 저항 등과 같은 데이터 시트에서 안정적으로 시뮬레이션 할 수 있다. 이 모든 것을 효과적으로 사용하려면 모델은 반드시 물리적 기반을 갖추고 직관적이면서 예측 가능하며 무엇보다 정확해야 한다.

IC업계에서 수십년 전을 돌아보면 IC 설계자가 회로 성능을 정확하게 예측하기 위해서는 SPICE 모델을 갖춘 CAD 설계구현 환경이 중요했다. 즉, 최초의 올바른 설계가 제조주기를 단축시켰다. 오늘에 이르기까지 전력전자 CAD 환경은 신뢰할 수 있는 SPICE 모델이 없었기 때문에 부분적으로 IC 산업보다 상당히 뒤처져 있었다. 또 전력전자 부품 모델은 간단한 하위 회로나 복잡한 비물리적 행동 모델에 기반해 왔다. 궁극적으로 시뮬레이션에 대한 신뢰성이 떨어져 있었다.
간단한 하위 회로가 모든 기기 성능을 예측하기에는 너무나 초보적이다. [그림 1]은 일반적인 단순 모델(파란색)을 온세미컨덕터의 첨단화된 물리적 모델(녹색) 및 측정된 데이터(빨간색)와 비교하는 CRSS 결과를 보여준다. 분명한 점은 단순 모델(파란색)이 비선형 특성을 보이지 못해 정확하지 않은 다이나믹 스위칭 시뮬레이션(Dynamic switching simulation)을 초래한다는 것이다. 더 정확하고 복잡한 동작 모델은 수렴 문제로 이어진다는 알려져 있다. 따라서 이런 모델은 MAST™과 같은 독점 시뮬레이터 행동 언어로 작성되는 경우가 많으므로 다양한 시뮬레이터 플랫폼에서 수용할 수 없다. 일반적으로 반도체 전력전자 모델은 공정 기술과 레이아웃을 기반으로 하지 않으며 칩 평면도를 사용한 확장성도 명확하지 않다.

그림 1.
우리는 물리적으로 확장 가능한 모델을 사용해서 전체 기술 플랫폼에 적용되는 하나의 모델을 개발하고 있다. 요컨데 그것은 우리가 익히 보아온 적당한 맞춤 매개변수로 채워진 개별적 모델의 집합체가 아니라 각 제품에 맞춘 모델이다. 우리의 칩 스켈링(Chip scaling)을 이용하면 특정 제품의 칩 평면도에 레이아웃 매개변수를 결합시켜 하나의 기술을 통해서도 급속한 확산을 기대할 수 있다.
다음 단계에서는 모델 내에 존재하는 물리 기반 프로세스 의존성을 통해 새로운 가상기술 변화의 영향을 예측할 수 있다. 확실히 초기 설계는 애플리케이션 관점에서 기술 요구사항을 촉진하고 시장 출시 기간을 단축하는 데 도움이 된다. 프로세스 및 제품 설계 엔지니어는 TCAD라고 알려진 유한 요소 부품 시뮬레이션을 사용하는 반면, 애플리케이션 및 시스템 레벨 설계자는 SPICE 기반 시뮬레이션 환경을 사용한다. 공정 변수에 기반한 SPICE 모델은 이 두 영역을 하나로 만드는 데 도움이 된다.
우리는 SiC MOSFET 모델이 가진 몇 가지 측면을 소개하겠다.

그립 2.
[그림 2]는 SiC MOSFET의 전형적인 단면을 보여주고 [그림 3]은 등가 회로 모델의 축약 버전이다. 먼저 주요 채널 영역에 대해 논의해 보겠다. 본 기고에서는 잘 알려진 버클리(Berkeley) BSIM 3v3 모델에 대해 소개하고자 한다. 우리는 BSIM 모델에 적합한 MOSFET 채널의 모델링을 시도하고 있다. 이 모델은 물리적 기반을 갖추고 있으며 하위 임계값, 약 역전 및 강 역전을 통해 전이를 정확하게 포착해 낼 수 있다. 또한, 이 모델은 여러 시뮬레이션 플랫폼에 걸쳐 널리 이용 가능한 특성을 갖췄기 때문에 높은 수렴성 및 뛰어난 속도를 지닌다.
다음으로 EPI 영역의 폴리 오버랩(Poly overlap)이 형성한 캐패시터 CGD를 배출하기 위해 임계 게이트를 살펴보겠다. 이 캐패시터는 본질적으로 고비선형 금속 산화막 반도체(MOS) 캐패시터다. 이 캐패시터의 디플리션 영역은 도핑 프로파일(Doping profile)을 포함한 공정변수의 복합적인 상호 의존성, DPW(Deep P-Well) 사이의 거리 및 에피택셜층(Epitaxial layer)의 두께에 의해 제어된다. 이러한 모든 영향을 고려한 물리 기반 모델은 SPICE-애그노스틱(Agnostic) 행동 접근법(Behavioral approach)으로 구현된다.

그림 3.
SPICE-애그노스틱 접근법(SPICE agnostic approach)이 무엇인지 살펴보자. 횡단면에서 [그림 4]와 같이 칩 평면도의 확장성 뒤에 존재하는 몇 가지 개념을 소개하고자 한다. 회색부분은 활성영역이다. 파란색의 비활성 영역은 다이 엣지(Die edge), 게이트 패드, 게이트 러너 등과 관련된다.
물리적 형상에 따른 파생은 확장성을 달성하는 데 필요한 비활성 영역과 활성 영역 간의 분포를 결정한다. 우리는 활성 영역과 비활성 영역 사이의 경계 영역에 형성된 기생 용량(Parasitic capacitance)을 크게 주목해야 한다. 레이아웃에서 캐퍼시터가 발생하기 시작했다면 언제 막아야 할까? 적은 양이라도 누적된다면 큰 문제가 될 수 있다. 이러한 사태가 발생하면 누구도 스켈링(Scaling)을 달성할 수 없을 것이다. 우리는 이러한 캐퍼시터를 남겨둘 수 없다고 생각한다.
SiC MOSFET는 나노 초당 약 50~100 볼트의 매우 빠른 dV/dts와 나노 초당 약 3에서 6 amps의 dI/dts를 지원한다. 본질적으로 장치 고유의 게이트 저항이 중요하며 전자파 장애(EMI) 퇴치에도 사용될 수 있다. [그림 4]의 오른쪽 설계는 게이트 러너가 적어서 RG(Gate input resistance)가 더 높기 때문에 링잉(Ringing)을 제한하기에 좋다. [그림 4]의 왼쪽 설계는 게이트 러너가 많으므로 RG가 낮다. 따라서 왼쪽 설계는 빠른 스위칭에 좋지만 게이트 러너가 활성 구역을 침식하기 때문에 영역 수에 따라 RDSon이 더 높다.

그림 4.
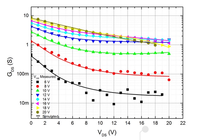
다음은 모델 검증에 대해 이야기하겠다. [그림 5]은 출력 전류-전압의 특성을 나타낸다. 이 모델은 높은 게이트 및 드레인 바이어스(Drain biases)에서 핀칭되는 드리프트 영역을 포함해 전체 바이어스 범위를 정확하게 예측한다. 오른쪽 플롯에서 보이는 정밀한 전도 시뮬레이션(Conduction simulation)은 모델의 연속성을 강조하며, 이는 견고한 수렴 성능에 중요하다. 우리는 종종 숨겨진 부정확성과 불연속성을 밝히기 위해 선형 외에도 로그 척도를 살펴보기도 한다.

그림 5.
[그림 6]에서는 넓은 온도 범위에서 전류 전압, RDSon, 임계 전압에 대한 결과를 보여준다. SiC MOSFET 장치는 안정적인 온도 성능 덕분에 매우 매력적이다. 온도에 따른 매우 정확한 모델링을 통해 설계자는 이러한 성질이 가지는 이점을 이용할 수 있다.
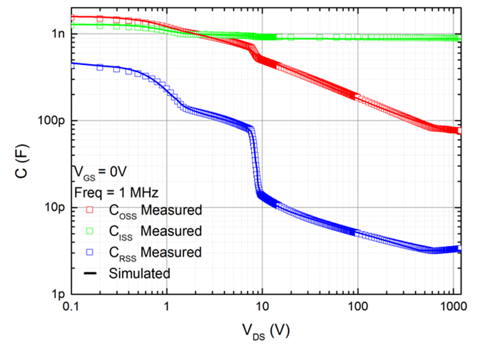
앞에서 우리는 복잡한 장치 용량에 대한 물리적 모델링을 소개했다. [그림 7]의 왼쪽에 있는 CRSS(또는 CGD) 시뮬레이션은 로그 스케일에서만 볼 수 있는 수준의 데이터의 다중 변위를 추적한다.

그림 6.

그림 7.
정밀하게 모델링된 고유 정전 용량 및 제품 레이아웃 기생성분(Parasitic)을 이용하면, [그림 8]에서 보여지는 것과 같이 추가적인 모델 튜닝이 필요 없는 스위칭 결과가 나타난다. 이 정도의 충실도라면, 애플리케이션 설계자는 dV/dt, dI/dt, 스위칭 손실 및 EMI와 같은 기기 회로 상호작용을 정밀하게 시뮬레이션 할 수 있는 자신감을 갖게 될 것이다.

그림 8.
이 점을 미루어 보면 추가적인 게이트 드라이버와 파워 루프(Power loop)가 연구되고 최적화할 수 있다. 또 사용자의 다양한 시뮬레이션 플랫폼 요구사항을 충족시키는 것이 중요하다. 따라서 SPICE 애그노스틱(Agnostic) 접근은 매우 중요하다. 이 애그노스틱 접근을 통해 우리는 업계 표준 시뮬레이션 소프트웨어 가운데 최소한의 공통점만을 사용해서 시뮬레이터 의존적 독점 솔루션에서 벗어나길 바란다.
온세미컨덕터는 첨단 와이드 밴드 갭 장치와 시뮬레이션간의 포트폴리오를 제공한다. 이 라인업은 개발자가 새롭고 흥미진진한 와이드 갭 애플리케이션 및 시스템의 잠재력을 실현할 수 있는 생태계를 형성할 것이다.
글: 제임스 빅토리(James Victory) 온세미컨덕터 수석 연구원















































