최신 전하결합 MOSFET 기술의 게이트 누설 메커니즘에 관한 연구

2015.09.15 09:21:40

전하결합(Charge Coupled) MOSFET 소자의 n+ 폴리실리콘 상에 실리콘 열산화막 성장의 전하 포획(charge trap) 능력을 평가하기 위한 대체 가능 방법을 제시한다. 프렌켈-풀(Frenkel-Poole) 모델을 통해 폴리실리콘-산화막을 통과하는 전류 전도 메커니즘을 해석함으로써, 그 안에 포획된 전하의 양을 평가하고 정량화할 수 있었다.


저전압 무선 애플리케이션의 저전류, 고속 스위칭 전력 MOSFET의 수요가 빠르게 증가함에 따라, 전하결합 MOSFET(CC-MOSFET)을 도입하는 추세다. 이를 통해 기존보다 더욱 전압을 축소할 수 있는 실리콘(Si) 전력 MOSFET의 기술 로드맵이 가능해졌다(1), (2).


전하결합 MOSFET(CC- MOSFET)은 게이트 누설(IGSS) 전류가 게이트 산화막을 관통하는 기존의 파워 MOSFET과는 달리, 인터폴리 산화막(IPO, Inter-poly Oxide)을 통해 추가로 누설 경로를 갖는다.
또한 CC-MOSFET 소자는 게이트 전극과 소스 전극 사이에 추가 절연이 필요한데, 이를 위해서는 두 개의 전극 사이에 폴리옥사이드가 낮은 누설전류 및 높은 절연파괴를 제공해야 할 것으로 예상된다. 


 

그러나 이를 적용하면 n+-다결정 상에 열산화막 성장이 폴리실리콘-폴리옥사이드 계면에서 두께 균일성(3) 및 국부 전계 증가(local field enhancement)(4)~(6)로 인해 높은 누설전류를 초래한다고 알려져 있다. 더불어 산화막의 전기적 특성은 폴리 증착 온도 도핑 공정(poly deposition temperature doping process) 등의 제조 공정과 열산화법에 크게 의존하는 것으로 나타났다(7), (8)


이 글에서는 프렌켈-풀 모델을 통해 산화막층을 통과하는 캐리어(carrier)의 이동 메커니즘을 분석한다. 더불어 프렌켈-풀 모델을 이용해 배리어 높이 감소 및 게이트 전압 펄스 인가 후, 게이트 전류 누설 감소와 관계있는 폴리옥사이드 층에 포획된 전하 밀도를 알아본다.
 
실험


CC-MOSFET 소자는 그림 1에 보이는 바와 같이 제조됐다. 게이트 산화막은 IPO층이 1.5kÅ 이었을 때 470Å의 두께로 열성장시켰다. 또한 별도의 DUT 구조를 제조했다. 이는 소스 전극으로부터 전기적으로 분리된 소스 폴리(source poly)를 갖도록 했다.


그림 1. ‌일반적인 게이트 전하 MOSFET 소자의 구조


또한 필자는 총 누설량에서 개별적인 기여(게이트 산화막 또는 IPO로부터의 누설)를 분리할 수 있도록 했으며, 이후 IGSS 측정을 사용해 모니터링할 수 있도록 했다.
 
결과


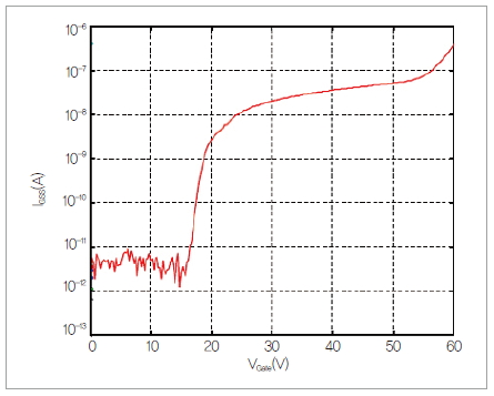
그림 2는 IGSS 수치가 높은 문제가 있는 CC-MOSFET의 I-V 특성을 보여준다. 더 나아가 지배적인 누설 경로를 분리하기 위해, I-V 특성은 DUT 상에서 수행했다.


그림 2. 높은 IGSS 누설전류를 가진 CC-MOSFET의 I-V 특성


그림 3. 전하 분리 모드에서 버진 DUT 소자의 I-V 특성


IGSS 전류는 나쁜 절연 특성을 두드러지게 하는 IPO에 의해 좌우된다. 이는 직사각형 펄스 신호(rectangular pulse signal)가 게이트 전극에 인가될 때 IPO 전류의 특성(behavior)에 의해 좌우되는 것이다.
그림 4는 펄스 높이(10V에서 28V까지)를 가진 게이트 전극에 직사각형 펄스 신호를 인가한 것을 15개의 서로 다른 버진 소자(virgin device)에 적용한 것을 나타낸다. 


여기서 모든 펄스는 IGSS를 감소시키며, 폴리옥사이드에 포획된 전하로 인해 더 높은 Vg에서 터널링 누설의 온셋(onset)을 촉진하는 것으로 보인다. 폴리옥사이드 누설은 폴리옥사이드 유전체에 포획된 전하가 다음 펄스 중에 주입된 전자들의 정전 차폐(electrostatic shield) 효과로 인해 모든 직사각형 펄스 이후에 감소한다. 폴리옥사이드 내에 주입된 전자들이 경험하는 유효 전계(Eeff)는 다음과 같이 설명된다.


그림 4. ‌같은 10ms 폭의 다른 펄스 높이 후 IPO의 I-V 특성. (첫 번째 특성은 어떤 펄스도 없는 플래시 곡선이며, 두 번째 곡선에서 열 번째까지는 펄스 높이가 1V 증가했고, 최종 5개 곡선에서 펄스 단계들은 2V(10ms)가 됐다)




여기서, nT는 포획된 전하 밀도를 나타내며, εo와 εox는 각각 진공 유전율과 산화막 유전 상수, 그리고 x*는 포획된 전하의 유효 무게중심(centroid)을 나타낸다. 그림 4의 플래시 곡선은 버진 소자를 나타낸다. 필자는 포획된 전하가 없이 비어 있다고 가정했다. 이 외의 I-V 곡선은 게이트 전압 펄스로 인한 어느 정도의 전하를 포획한 곡선을 나타낸다.

폴리옥사이드를 통과하는 주요 이동 메커니즘은 포획된 전하의 온도 의존성 때문에 프렌켈-풀 모델로 설명된다. 사실, 우리는 그림 5와 같이 가장 최근의 누설전류 특성을 낮은 게이트 전압으로 되돌리기 위해, 200℃(1h) 환경에서 충분히 삼각 램프(triangular ramp)가 있음을 관찰했다. 방출된 전자들은 어떤 전계로부터 자극받지 않도록 분극(polarization) 없이 저온에서 열처리가 수행됐다. 프렌켈-풀 이동은 참고문헌(9)에 의해 모델링된다.


그림 5. ‌그림 4에 우리는 1h 동안 삼각 램프(triangular ramp)에 의해 200℃에서 열처리한 후의 IV 곡선을 추가열처리 후, 우리는 낮은 게이트 전압에 I-V 특성의 회복을 관찰했다



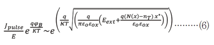
여기서 jB, q, T, 그리고 K는 각각 트랩 배리어 높이, 전하량, 온도, 볼츠만 상수이며, ?jB 는 다음과 같이 주어진다.




여기서 q, E, εo, 그리고 εox는 각각 기본 전하량(elementary charge), 폴리/폴리옥사이드 적층 계면에서의 전계, 유전체의 광학 유전 상수, 그리고 진공 유전율(vacuum permittivity)이다.


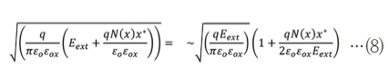
첫 번째 근사치에서 외부 펄스는, 많은 수의 빈 곳(empty) 또는 중성 트랩들을 갖기 때문에 초기에 폴리옥사이드가 더욱 도전성을 갖도록 트랩의 점유 상태가 변하므로 배리어 높이 jB를 변경하지 않았다. 하지만 DjB를 변경한다고 가정할 수 있다. 그러나 점차적으로 트랩들이 채워지게 되면 전류 누설은 줄게 된다. 그 이유는 우리가 점차 상당량의 트랩들을 채울 것이며 폴리옥사이드를 통한 일부 우선 도전 경로를 줄일 것이기 때문이다. 폴리/폴리옥사이드 계면이 가깝다고 가정하면, 전계는 다음과 같다.



여기서 N(x)는 빈 트랩 밀도(empty traps density)이고, 외부 전계 Eext에 대해서 우리는 식 (2)를 다음과 같이 다시 쓸 수 있다.




펄스 후, 우리는 포획된 nT 전하(electric charge)를 가지므로, 전류 밀도는 다음과 같이 될 것이다.



여기서 (N(x)-nT)는 순수 빈 트랩들이다.
만약,



이면, 위의 식은 다음과 같이 쓸 수 있다.



JPulse에 대해서는 같다.
식 (5)와 (6)에서 우리가 염두에 둔 근사치로, 다음 식을 얻었다.



외부 전위(potential)는 Eext=Vgate/dox이며, 여기서 dox는 폴리옥사이드 두께이므로 위의 식은 다음과 같이 쓸 수 있다.



여기서 b (V1/2cm2C-1)는 다음과 같이 주어진다.



즉 위의 I-V 특성에 의해서 우리는 매 펄스 동안 포획된 전하 밀도인 Qot를 알 수 있다. 그림 6은 그 결과를 보여준다.


그림 6. 매 펄스 후 포획된 전하 밀도


우리는 가장 최근 4개의 펄스가 서로 다른 펄스 높이(2V)를 가지고 있기 때문에, 그림 6에서 첫 10개의 I-V 곡선만을 고려했다. 그림 6에서 보이는 바와 같이, 필자는 ln(J/Jpulse) 곡선들에서 대향 영역을 추정하여 포획 전하를 평가하고 난 후, 식 10을 적용하여 포획된 전하를 평가했다. 그림 7은 그 결과를 보여준다.


그림 7. 매 삼각 펄스 후에 포획된 전하


그림 7의 값들은 가우시안 곡선으로 예측되었다. 이 방법으로, 우리는 매 펄스 동안 폴리옥사이드에 포획된 전하의 평가 및 제어를 할 수 있다. 이 값들은 일반적으로 다른 기법(5), (10)으로 도출한 값들과 일치한다. 

 

결론


전하 분리 방법을 통해, 우리는 IGSS의 전기적 구성 시 CC-MOSFET 소자를 통과하는 총 게이트 누설전류에 전기적으로 영향을 미치는 것을 모두 분석했으며, 총 누설전류에 주로 영향을 미치는 것이 폴리옥사이드의 누설전류라는 것을 확인했다. 또한 게이트 누설전류가 연속적인 펄스들 후에 감소되고 그 특성이 열처리에 의해 부분적으로 회복된다는 것을 알아냈다. 


더불어 포획된 전하에서 발생하는 배리어 높이의 변형에 기인하는 이러한 거동을 모델링했다. 프렌켈-풀 이동 메커니즘을 가정해 게이트 펄스들과 포획된 전하 밀도량을 연결하는 이 모델을 충족할 수 있었다. 폴리옥사이드에 포획된 전하의 양을 정량화하면, n+ 폴리실리콘 상에 산화막층 성장의 절연 품질을 측정할 수 있다. 


G. Barletta _ ST마이크로일렉트로닉스

V. C. Ngwan _ ST마이크로일렉트로닉스


Copyright ⓒ 첨단 & Hellot.net






검색